


temat z okładki
znaczenie dla zdrowia i praktyki klinicznej
Katarzyna Żarczyńska1, Renata Lewko-Wojtowicz2, Marian Porowski3, Mateusz Porowski4, Cristina Sanmartin Ruiz5, Carlos Martinez Davila5, Gonzalo Cano5
1 Katedra Chorób Wewnętrznych z Kliniką, Wydział Medycyny Weterynaryjnej, Uniwersytet Warmińsko-Mazurski w Olsztynie; 2 Ceva Animal Health, Polska;
3 Vet-Com Olsztyn; 4 Usługi Weterynaryjne Animal Pobiedziska;
5 OPP group, Lleida, Hiszpania
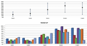
Białka połączeń ścisłych TJPs (Tight Junction Proteins, TJPs) stanowią główną formę połączeń między komórkami nabłonka jelitowego.
Odgrywają decydującą rolę w utrzymaniu mechanicznej funkcji bariery i selektywnej przepuszczalności nabłonka błony śluzowej jelita. Zmiany w przepuszczalności TJPs oraz zaburzenia ich struktury mogą umożliwiać przenikanie drobnoustrojów i patogenów ze światła jelita, wpływając na ich ekspresję i rozmieszczenie.
W produkcji trzody chlewnej problemy związane ze zdrowiem jelit prosiąt, w szczególności biegunki, stanowią jeden z kluczowych czynników wpływających na efektywność hodowli. W okresie odsadzania struktura i funkcja jelit prosiąt nie są jeszcze w pełni rozwinięte, dlatego zwierzęta te wykazują wysoką wrażliwość na czynniki stresowe, takie jak stres środowiskowy, zakażenia czy zmiany żywieniowe.
Stres odsadzeniowy może wywoływać szereg reakcji fizjologicznych …

trzoda

Rola białek połączeń ścisłych w jelitach prosiąt odsadzonych znaczenie dla zdrowia i praktyki klinicznej
Białka połączeń ścisłych TJPs (Tight Junction Proteins, TJPs) stanowią główną formę połączeń między komórkami nabłonka jelitowego. Odgrywają decydującą rolę w utrzymaniu mechanicznej funkcji bariery i selektywnej przepuszczalności nabłonka błony śluzowej jelita. Zmiany w przepuszczalności TJPs oraz zaburzenia ich struktury mogą umożliwiać przenikanie drobnoustrojów i patogenów ze światła jelita, wpływając na ich ekspresję i rozmieszczenie.
Katarzyna Żarczyńska, Renata Lewko-Wojtowicz, Marian Porowski3, Mateusz Porowski, Cristina Sanmartin Ruiz, Carlos Martinez Davila, Gonzalo Cano

Lawsonia intracellularis
diagnostyka w stadach trzody chlewnej
Zakażenia wywołane przezLawsonia intracellularis należą do najczęstszych i jednocześnie najbardziej niedoszacowanych problemów zdrowotnych w produkcji trzody chlewnej. Ich znaczenie kliniczne bywa trudne do uchwycenia, ponieważ dominującą postacią choroby jest forma subkliniczna, prowadząca do pogorszenia wyników produkcyjnych bez wyraźnych objawów ze strony przewodu pokarmowego.
Agnieszka Mańka

Choroba Aujeszkyego u świń i innych gatunków zwierząt
Fakt, że Polska jest wolna od choroby Aujeszkyego u świń, nie zwalnia nas z obowiązku prowadzenia monitoringu choroby i uwzględniania jej w diagnostyce klasycznej i różnicowej.
Zuzanna Polak

bydło

Hormonalne przerywanie ciąży i indukowanie porodu
W praktyce weterynaryjnej dochodzi czasem do sytuacji, kiedy zaistnieje potrzeba przerwania ciąży – zarówno tej o przebiegu fizjologicznym, jak i patologicznym. Nie są to częste przypadki, ale wymagają niezbędnej wiedzy, aby ingerencja lekarska była efektywna.
Grzegorz Jakub Dejneka

Szczegółowa analiza cyklu rujowego krowy mlecznej w modelu dwufalowym cz. I: od 1 do 7 dnia
Poniższe opracowanie opisuje modelowy, dwufalowy cykl rujowy krowy mlecznej, rozpisany dzień po dniu od 1 do 21 dnia. W tym ujęciu dzień 1 oznacza dobę bezpośrednio po owulacji (wczesny metestrus), natomiast dzień 21 odpowiada rui (estrus) i zdarzeniom bezpośrednio prowadzącym do kolejnej owulacji oraz rozpoczęcia następnego cyklu.
Oliwia Świerczek, Dawid Tobolski

Koronawirus bydlęcy
zmiany sekcyjne
Koronawirus bydlęcy (Bovine Coronavirus, BCoV) jest patogenem powodującym zarówno choroby układu pokarmowego, jak i oddechowego.
Aleksandra Sobierajewicz, Marcin Kocik

Wymioty u przeżuwaczy
Za mechanizm wywołania wymiotów u bydła odpowiedzialny jest przede wszystkim przełyk, a proces rozpoczyna się po wdechu,
przy zamkniętej nagłośni i skurczu mięśni tłoczni brzusznej.
Paulina Pyrek

Nietypowe konsekwencje poiniekcyjnego krwiaka
Zdecydowałem się opisać niniejszy przypadek z względu na jego nietypowość i przykre konsekwencje, krowa bowiem padła.
Michał Bednarski

Osocze mrożone
czy może być brakującym elementem w leczeniu i profilaktyce chorób nowo narodzonych cieląt?
W praktyce u bydła często wykorzystuje się transfuzję krwi pełnej, chociaż w wielu sytuacjach klinicznych przetoczenie osocza może być rozwiązaniem skuteczniejszym i bezpieczniejszym.
Jakub Wandelewski, Katarzyna Żarczyńska

Brodawczyca bydła - wciąż aktualny problem
Niniejsze opracowanie prezentuje kompleksowy przegląd aktualnej wiedzy naukowej na temat etiologii, patogenezy i schematów leczenia brodawczakowatości. Ze szczególną uwagą omówiono skuteczne podejście chirurgiczne oparte na zjawisku martwicy niedokrwiennej wywoływanej mechanicznym podwiązywaniem zmian, co zilustrowano drobiazgowym opisem własnego przypadku klinicznego.
Małgorzata Dziekiewicz-Mrugasiewicz, Maciej Perzyna, Dawid Tobolski

Najlepsze praktyki w utrzymaniu cieląt
Liczne badania wskazują, że odpowiednia powierzchnia kojców, właściwie dobrany system żywienia i pojenia oraz środowisko utrzymania wolne od stresu mogą zmniejszyć zachorowalność i zwiększyć tempo wzrostu cieląt nawet o 20-30%..
Robert Kupczyńskii

Choroba niebieskiego języka
W ostatnich latach szczególne zagrożenie stanowi serotyp BTV-3, który w 2023 r. wywołał rozległą epidemię w Holandii i ekstremalnie szybko rozprzestrzenił się na inne kraje europejskie.
Michał Plewik

Największe ognisko pryszczycy w Libanie
analiza epizootiologiczna i kliniczna
Pryszczyca (foot-and-mouth disease, FMD) jest jedną z najważniejszych ekonomicznie chorób endemicznie występującą na obszarze Bliskiego Wschodu. W listopadzie 2025 roku w Libanie odnotowano największe od 2008 roku ognisko tej choroby.
Yara Maalouf

konie

Profilaktyka stomatologiczna koni dlaczego jest tak ważna?
Artykuł przedstawia najczęściej występujące problemy stomatologiczne u koni oraz wyjaśnia, dlaczego regularna profilaktyka w tym zakresie ma kluczowe znaczenie dla ich zdrowia, komfortu i dobrostanu.
Klementyna Domagalska-Stomska